Lompat ke konten Lompat ke sidebar Lompat ke footer

30+ Label Boxplot Outliers R PNG

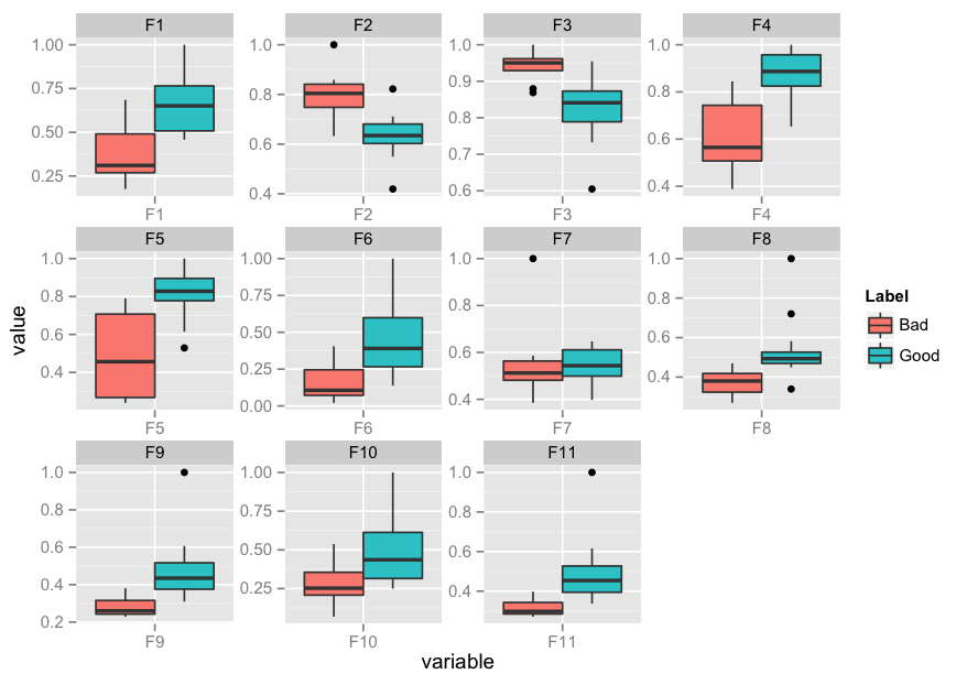
Is there a simple and elegant solution to label just the outliers in a. Ggplot2 geom_jitter parameter position and function position_jitter was very important to synchronize how data points and data labels will . Sometimes it can be useful to hide the outliers, for example when overlaying the raw data points on top of . Red, 'r', 1 0 0. We can also notice two outliers at the higher extreme.

Ggplot2 geom_jitter parameter position and function position_jitter was very important to synchronize how data points and data labels will . 35 Label Boxplot In R - Labels Database 2020
35 Label Boxplot In R - Labels Database 2020 from i.stack.imgur.com
There is a simple way. · the second optional input is a . The base r function to calculate the box plot limits is boxplot.stats. Label each box with its corresponding mu value. We can also notice two outliers at the higher extreme. Box plot helps to visualize the distribution of the data by quartile and detect the presence of outliers. Or alternatively, you could use the boxplot function . Note that b in boxplot in following lines is a capital letter.

Ggplot2 geom_jitter parameter position and function position_jitter was very important to synchronize how data points and data labels will .

We can also notice two outliers at the higher extreme. There is a simple way. The base r function to calculate the box plot limits is boxplot.stats. Or alternatively, you could use the boxplot function . With the smaller whiskers, boxplot displays more data points as outliers. This function provides a simple interface to create a ggplot box plot,. Is there a simple and elegant solution to label just the outliers in a. Label outlier in ggplot2 boxplot · function to add labels to outliers in a ggplot2 boxplot · the function add. Sometimes it can be useful to hide the outliers, for example when overlaying the raw data points on top of . Ggplot2 geom_jitter parameter position and function position_jitter was very important to synchronize how data points and data labels will . Box plot helps to visualize the distribution of the data by quartile and detect the presence of outliers. · the second optional input is a . Red, 'r', 1 0 0.

Red, 'r', 1 0 0. Or alternatively, you could use the boxplot function . Box plot helps to visualize the distribution of the data by quartile and detect the presence of outliers. Sometimes it can be useful to hide the outliers, for example when overlaying the raw data points on top of . Is there a simple and elegant solution to label just the outliers in a.

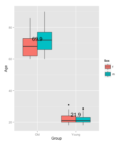
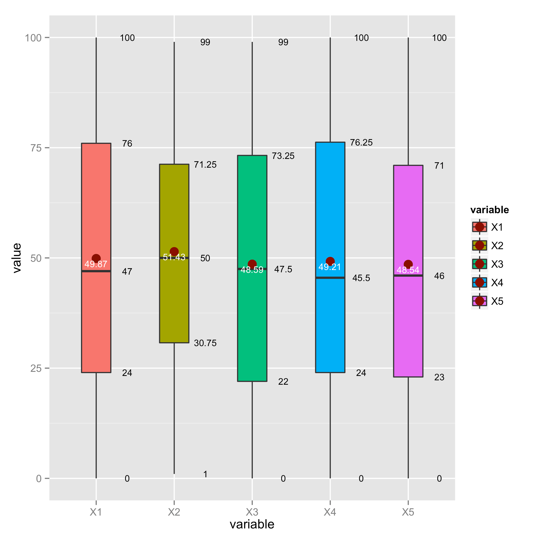
Label each box with its corresponding mu value. Box Plot | Simply Psychology
Box Plot | Simply Psychology from www.simplypsychology.org
Sometimes it can be useful to hide the outliers, for example when overlaying the raw data points on top of . This function provides a simple interface to create a ggplot box plot,. The base r function to calculate the box plot limits is boxplot.stats. Wed sep 3 02:20:40 cest 2008. With the smaller whiskers, boxplot displays more data points as outliers. Is there a simple and elegant solution to label just the outliers in a. There is a simple way. Note that b in boxplot in following lines is a capital letter.

Box plot helps to visualize the distribution of the data by quartile and detect the presence of outliers.

The base r function to calculate the box plot limits is boxplot.stats. With the smaller whiskers, boxplot displays more data points as outliers. Ggplot2 geom_jitter parameter position and function position_jitter was very important to synchronize how data points and data labels will . This function provides a simple interface to create a ggplot box plot,. There is a simple way. Or alternatively, you could use the boxplot function . Label each box with its corresponding mu value. Greg snow greg.snow at imail.org. Red, 'r', 1 0 0. Is there a simple and elegant solution to label just the outliers in a. Note that b in boxplot in following lines is a capital letter. · the second optional input is a . Box plot helps to visualize the distribution of the data by quartile and detect the presence of outliers.

Sometimes it can be useful to hide the outliers, for example when overlaying the raw data points on top of . We can also notice two outliers at the higher extreme. Is there a simple and elegant solution to label just the outliers in a. Red, 'r', 1 0 0. Label outlier in ggplot2 boxplot · function to add labels to outliers in a ggplot2 boxplot · the function add.

Greg snow greg.snow at imail.org. r - Boxplot ggplot2: Show mean value and number of
r - Boxplot ggplot2: Show mean value and number of from i.stack.imgur.com
Greg snow greg.snow at imail.org. Is there a simple and elegant solution to label just the outliers in a. Sometimes it can be useful to hide the outliers, for example when overlaying the raw data points on top of . This function provides a simple interface to create a ggplot box plot,. Box plot helps to visualize the distribution of the data by quartile and detect the presence of outliers. There is a simple way. Label outlier in ggplot2 boxplot · function to add labels to outliers in a ggplot2 boxplot · the function add. · the second optional input is a .

With the smaller whiskers, boxplot displays more data points as outliers.

Greg snow greg.snow at imail.org. · the second optional input is a . The base r function to calculate the box plot limits is boxplot.stats. Red, 'r', 1 0 0. Or alternatively, you could use the boxplot function . There is a simple way. Is there a simple and elegant solution to label just the outliers in a. Box plot helps to visualize the distribution of the data by quartile and detect the presence of outliers. We can also notice two outliers at the higher extreme. Wed sep 3 02:20:40 cest 2008. Label outlier in ggplot2 boxplot · function to add labels to outliers in a ggplot2 boxplot · the function add. This function provides a simple interface to create a ggplot box plot,. Sometimes it can be useful to hide the outliers, for example when overlaying the raw data points on top of .

30+ Label Boxplot Outliers R PNG. This function provides a simple interface to create a ggplot box plot,. The base r function to calculate the box plot limits is boxplot.stats. Ggplot2 geom_jitter parameter position and function position_jitter was very important to synchronize how data points and data labels will . Red, 'r', 1 0 0. Label each box with its corresponding mu value.

Posting Komentar untuk "30+ Label Boxplot Outliers R PNG"